介紹 存儲示波器可以顯示電容器通過電阻器充電的電壓/時間圖,并從打印輸出中計算出電路的時間常數值。這提供了計算電容值所需的所有信息。


所需設備
一個PC的示波器 ,如2205用PicoScope教育軟件。 一個未知值的電容(此處使用的值約為1μF)。 電池(使用9 V PP3,但可以使用任何類型或值) 合適的引線和連接器。


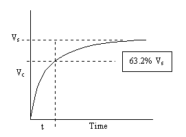
背景理論 當未充電的電容器通過電阻器連接到直流電源時,其電路板上的電位差(Vc)首先迅速增加,但隨后減速直到該值等于直流電源的電壓差(Vs)。當Vc = Vs時,沒有電流流過電阻器,電容器充滿電。電路的時間常數t定義為Vc值達到最終值的63.2%所需的時間,可以取為Vs. 我們還有t = RC,其中R是以歐姆為單位的電阻值,C是以法拉為單位的電容值。有關此定義背后的數學的完整處理,請參閱本說明末尾的附錄。


實際考慮 PicoScope 2205示波器可以提供幾乎任何值的時間軸,因此R和C的值可以是任何方便的值。但應注意,PicoScope 2205的輸入阻抗約為1MΩ,并將與電容并聯。如果此輸入阻抗不會顯著改變Vc的最大值,則充電電阻應具有<1MΩ的值,大約為100。


實驗設置 如圖所示,將組件布置成一系列RC電路。需要一些在測量之間對電容器放電的方法,并且飛線將足夠。在我們的實驗中,使用1μF電容器,3900Ω電阻器和9 V電池。 PC示波器設置通常為:時基2 ms / div,通道A輸入+10 V DC,觸發單次上升,上升以捕獲開始捕獲時的脈沖。在預觸發值約為5%時使用150 mV左右的靈敏度。


進行實驗 通過懸空引線短接其端子來使電容器放電。按PC上的空格鍵并關閉開關。應該獲得類似于所示的痕跡。根據需要調整時基設置并重復運行。要重復運行,請打開開關,使電容器放電,按下PC上的空格鍵并再次關閉開關。保存屏幕圖像。


計算 可以從計算機打印輸出進行測量,也可以使用PicoScope中提供的屏幕光標來確定Vc的最大值。一旦確定了Vc的時間常數值,就可以重新定位光標,以便可以從顯示器讀取時間。測量打印輸出上達到的Vc的最大值。將此值稱為Vs. 計算63%的Vs并在平行于x軸的圖形上畫一條虛線。從63.2%線穿過跡線的點開始,向下放下一條線到x軸(見上圖)。從圖中計算t的值。 如果t = RC則C = t / R. 從示例軌跡Vs = 9 V和63.2%是5.7 V,給出4.1 ms的值 由于R = 3900,我們得到C = 4.1×10 -3 / 3900。 這使得C =1.05μF


問題和結果討論 1.該結果與電容器的預期值相比如何?它是否在正常的10%容差范圍內?


進一步研究 時間常數可以從放電特性以及充電特性得出,除了從Vc下降到V的36.8%所花費的時間計算時間。由于觸發更加困難,因此設置起來不那么容易。它可以與大約1000μF的C值一起使用,其中時間是幾秒,因此可以使用手動觸發。要使用的電路改為顯示的電路。首先通過切換到電池對電容器充電,然后使用另一個位置的開關將電容器放電。 如果開關和電池由方波發生器代替,則該電路可以適應小的C值。這交替地對電容器充電和放電,給出兩種特性。調整發電機頻率和時基控制以獲得最佳跟蹤。 如果開關和電池由方波發生器代替,則該電路可以適應小的C值。這交替地對電容器充電和放電,給出兩種特性。調整發電機頻率和時基控制以獲得最佳跟蹤。


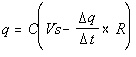
附錄 假設電池具有EMF Vs,并且電阻器和電容器上的電壓在任何時刻都是Vc和Vr。當電容器充電時,Vc的值增加并由Vc = q / C給出,其中q是板上的瞬時電荷。在此時刻(時間t),電路中將流過電流I. 我們知道電流是由電荷變化率給出的。所以:

我們還知道Vs = Vc + Vr且Vc = q / C. 根據歐姆定律,我們得到Vr = iR:

由于Vs = Vc + Vr,我們得到:

重排...

這個等式可以顯示出解決方案:

其中Q是最大充電即?X Vs的。 當t = RC時,等式變為: q = Q(1 - e負一次方 ) 但: 1 - e -1 = 1 - 0.368= 0.632 即,當t = RC時,q的值是Q的最大值的63.2%。